Описание плиты ПАГ-18
Плита ПАГ-18 применяется для устройства аэродромных покрытий, взлетно-посадочных полос, рулежных дорожек и других площадок с высокими нагрузками. Изделие изготавливается компанией ГК "БЛОК", которая специализируется на производстве и поставке железобетонных изделий в Москве, с использованием высокопрочного бетона и армирования стальной арматурой, что обеспечивает её прочность, устойчивость к нагрузкам и долговечность.
Нормативный документ: ГОСТ 25912-2015.
Применение плиты ПАГ-18
Плита ПАГ-18 используется для:
- устройства аэродромных покрытий;
- строительства взлетно-посадочных полос и рулежных дорожек;
- монтажа площадок под высокие нагрузки (складские, промышленные);
- обеспечения надёжности и долговечности конструкций.
Основные параметры, размеры и характеристики
- Длина L, мм: 6000
- Ширина b, мм: 2000
- Высота h, мм: 180
- Масса, тонн: 5.4
- Объем бетона, м³: 2.16
- Геометрический объем, м³: 2.16
- Класс бетона: B25 (марка М350);
- Сталь, кг: 194.1
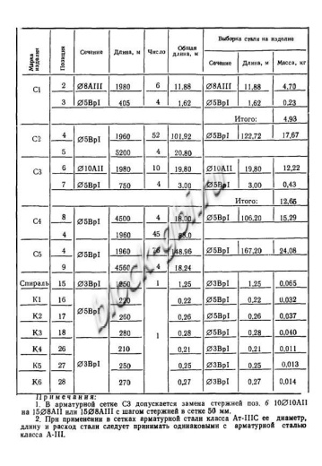
Закладные элементы
- Закладная 1: Сетка С3;
- Закладная 2: Сетка С4;
- Закладная 3: Монтажно-стыковые изделия М3;
- Закладная 4: Монтажно-стыковые изделия М4.
Дополнительные характеристики
- Марка по морозостойкости: F200–F300;
- Марка по водонепроницаемости: W6–W8;
- Технология изготовления: формование с использованием высокопрочного бетона.
Нормы загрузки
- Норма загрузки в автотранспорт 20 т, шт: до 3 (в зависимости от грузоподъёмности).
Расшифровка маркировки ПАГ-18
Маркировка "ПАГ-18" содержит следующую информацию:
- ПАГ – плита аэродромная гладкая;
- 18 – толщина плиты в сантиметрах (180 мм = 18 см).
Условия транспортировки и хранения
Плиты ПАГ-18 перевозятся автомобильным или железнодорожным транспортом с использованием специальных захватных устройств (строп). Хранение осуществляется на ровных площадках с твердым покрытием. Плиты укладываются горизонтально в штабель высотой не более 2,5 м. Для предотвращения повреждений между изделиями устанавливаются деревянные прокладки.
Контроль качества плиты ПАГ-18
Каждая плита ПАГ-18 проходит многоступенчатый контроль качества. Проверяются:
- прочность бетона (не ниже класса B25);
- соответствие геометрических размеров проектным данным;
- морозостойкость и водонепроницаемость бетона;
- точность расположения закладных элементов;
- отсутствие трещин, сколов и других дефектов.
Заключение
Плита ПАГ-18 – это надежное решение для устройства аэродромных покрытий, взлетно-посадочных полос и других площадок с высокими нагрузками. Благодаря использованию качественных материалов и современных технологий производства, она обеспечивает прочность, устойчивость и долговечность конструкций. Для заказа качественных железобетонных изделий обращайтесь к профессионалам своего дела – компании ГК "БЛОК".
Смотрите также:
| Варианты написания товара | 
|---|
| Плита ПАГ-18 | 
| ПАГ-18 плита | 
| Плита ПАГ-18 ГОСТ 25912-2015 | 
| ПАГ-18 ГОСТ 25912-2015 | 
| ПАГ-18 | 
| Плита ПАГ-18 ГОСТ | 
| ПАГ-18 ГОСТ | 
| 
											ГОСТ/Серия
																					 | ГОСТ 25912-2015 | 
| 
											Длина, мм
																					 | 6000 | 
| 
											Ширина, мм
																					 | 2000 | 
| 
											Высота, мм
																					 | 180 | 
| 
											Масса, тонн
																					 | 5.4 | 
| 
											Объем бетона, куб.м
																					 | 2.16 | 
| 
											Класс бетона
																					 | В25 | 
| 
											Геометрический объем, м.куб
																					 | 2.16 | 
| 
											Сталь, кг
																					 | 194.1 | 
| 
											Закладная 1
																					 | Сетка С3 | 
| 
											Закладная 2
																					 | Сетка С4 | 
| 
											Закладная 3
																					 | Монтажно-стыковые изделия М3 | 
| 
											Закладная 4
																					 | Монтажно-стыковые изделия М4 | 
Как купить
Процесс покупки железобетонных изделий у нас прост и удобен. Следуйте этим шагам:
- Выбор продукции: Ознакомьтесь с нашим ассортиментом и выберите необходимые железобетонные изделия.
- Консультация: Свяжитесь с нашим менеджером для получения консультации по выбору продукции и уточнения всех деталей. Вы можете позвонить нам или написать на электронную почту.
- Оформление заказа: После согласования всех деталей оформите заказ. Менеджер поможет вам заполнить все необходимые документы.
- Согласование доставки: После оформления заказа наш менеджер свяжется с вами для согласования условий и сроков доставки.
- Оплата: Выберите удобный способ оплаты. Мы предлагаем несколько вариантов, включая безналичный расчет.
- Получение товара: После выполнения всех условий заказа, вы получите железобетонные изделия в назначенное время и по согласованному адресу. При получении подпишите акт приема-передачи.
Если у вас возникли вопросы на любом этапе покупки, не стесняйтесь обращаться к нашим менеджерам!
Оплата
Мы принимаем только безналичные платежи и работаем исключительно с юридическими лицами. Пожалуйста, ознакомьтесь с условиями оплаты ниже:
- Способ оплаты: Все расчеты производятся безналичным путем. Мы не принимаем наличные.
- Счет на оплату: После оформления заказа вам будет выставлен счет, который необходимо оплатить в срок, указанный в документе.
- Реквизиты: Все необходимые банковские реквизиты будут предоставлены в счете. Убедитесь, что все данные указаны правильно для успешного перевода.
- Подтверждение оплаты: После осуществления платежа отправьте нам подтверждение, чтобы мы могли оперативно обработать ваш заказ.
- Получение документов: После полной оплаты вы получите все необходимые документы, включая акт выполненных работ, товарные накладные и сертификаты на продукцию.
Мы работаем с НДС и предоставляем все необходимые сертификаты и документы. Все гарантии будут прописаны в договоре, что обеспечивает прозрачность и надежность сотрудничества.
Если у вас есть вопросы по поводу процесса оплаты, не стесняйтесь обращаться к нашим менеджерам за помощью!
Наша оперативность — ваше удобство. Мы гарантируем своевременную доставку железобетонных изделий, что является ключевым фактором для успешной реализации ваших строительных проектов. Доставка осуществляется прямо к вашему объекту с учетом всех стандартов качества.
    Основные условия доставки:
    • Выбор тарифа: Вы можете выбрать способ расчета стоимости доставки — почасовой или по зонам.
    • Согласование: Менеджер свяжется с вами для уточнения деталей после оформления заказа.
    • Время на погрузку: Комплектация товара занимает от 1 до 3 дней в зависимости от объема.
    • Акт приема-передачи: Продукция передается по акту приема-передачи.
    Тарифы на доставку:
    Цены варьируются в зависимости от расстояния и региона. Все тарифы включают НДС. При неблагоприятных погодных условиях возможны небольшие изменения в стоимости.
    География доставки:
    Мы работаем по всей территории РФ и имеем 12 офисов и производств, чтобы обеспечить удобные условия для доставки.
Для точного расчета стоимости доставки обращайтесь к нашим менеджерам!


 
						 
						 
						 
						 
						 
						 
						 
						 
						 
						 
						 
						 
						 
						 
							 
							 
							 
							 
							 
							 
							 
							 
							 
							 
							 
							 
							